技术文章/ ARTICLE

我的位置:首页  >  技术文章  >  产品计量证书及相关国家标准解读

产品计量证书及相关国家标准解读

更新时间:2025-06-12      浏览次数:273
  色差仪作为一种颜色测量的精密仪器,很多客户买来之后都会选择送检,用来检测仪器的精度,避免测量不准。林上色差仪确保可以通过相关计量院的检测,仪器会定期送检到计量院去检测,检测完成后,计量院会出具相关的计量证书。对于色差仪,各行各业会根据行业特性制定相关的国家标准。由于计量证书和国家标准都有一定的专业性,本文将为大家解读。
 
产品计量证书及相关国家标准解读
色差仪的计量证书怎么看?
 
  色差仪进行计量校准依据是《JJG 595-2002 测色色差计检定规程》 , 检定规程中对色差仪一二级机的稳定性、重复性、复现性、示值误差进行规定。其中示值误差和重复性是衡量色差仪测量是否准确的重要参数。
 
产品计量证书及相关国家标准解读
校准报告怎么看?
 
产品计量证书及相关国家标准解读
在校准结果页中,我们可以看到,所有数据都是基于Yxy颜色模型进行检测的。
 
  示值误差的计算
 
  示值误差是在仪器预热之后,对白、红、绿、蓝、黄5种标准色板的 Y, x, y进行测量,每块色板检测值与色板的各自标准值之差的绝对值定义为示值误差。
 
如上图校准结果所示,以红色为例:
 
重复性计算
 
  重复性是指同一台仪器测量同一位置的Y,x,y数据最大差值。如上图标准结果中,重复性均为0。
 
  色差仪计量规程解读
 
  计量院对色差仪进行校准依据为JJG 595-2002 《测色色差计检定规程》。 规程中介绍了色差仪的工作原理,指出色差仪由照明系统、探测系统和数据处理系统三大部分组成。
 
产品计量证书及相关国家标准解读
色差仪计量性能要求
 
  检定规程中4.1明确规定了色差仪等级的性能要求,其中一级色差仪要求其稳定性小于等于0.2,重复性小于等于0.3, 示值误差不超过1.5,详细如下图
 
产品计量证书及相关国家标准解读
色差仪相关国家标准
 
  1. GB/T 3978-2008 标准照明体和几何条件
 
  该标准规定了色差仪采用的CIE标准照明体需为D65或标准照明体A
 
产品计量证书及相关国家标准解读
  该标准的6.1章节规定了色差仪的几种几何条件,包括D/8、8/D、45°/0°和0°/45° ,其中D/8和8/D几何条件又分为包含镜面反射成分和排除镜面反射成分,45°/0又分为45°环带入射和单方向入射,0°/45°分为单方向接收和45°环带接收。
 
产品计量证书及相关国家标准解读
产品计量证书及相关国家标准解读
  林上色差仪采用D/8(包含镜面反射)和45°/0°(环带入射。垂直接收)的几何条件,确保测量的准确性。
 
产品计量证书及相关国家标准解读
2. GB/T 4739-1995《日用陶瓷颜料色度测定方法》
 
  该标准适用于一般日用陶瓷颜料的颜色测量,不适用于含有荧光物质及带有金属光泽的陶瓷颜料。标准规定了测量一般日陶瓷颜料需要使用D65标准照明体。
 
产品计量证书及相关国家标准解读
3. GBT 6688-2008《染料—相对强度和色差的测定—仪器法》
 
  该标准规定了非荧光染料染于纺织品时与标样的相对强度和色差的仪器法测定方法。 其中5.1章节表明在测试染料的色差时,应采用D65标准照明体,观测条件为0/D或D/0。
 
产品计量证书及相关国家标准解读
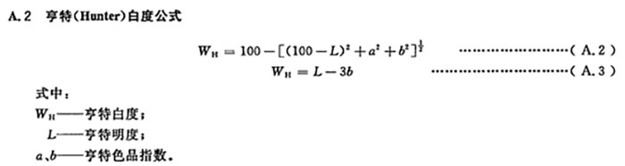
4. GBT 17749-2008 白度的表示方法
 
  该标准规定了物体色白度的表示方法,适用于白色和近“白”的物体色表示,标准中的3.1章节解释了白度的具体含义。
 
产品计量证书及相关国家标准解读
  该标准还介绍了几种基础的白度公式,包括蓝光白度、Hunter白度、Z白度公式和甘茨白度。
 
产品计量证书及相关国家标准解读
产品计量证书及相关国家标准解读
5. GB/T 39822-2021 《塑料 黄色指数及其变化值的测定》
 
  该标准规定了黄色指数和黄色指数变化值的具体含义,标准适用于塑料材料的黄色指数及其变化值的测定。
 
产品计量证书及相关国家标准解读
总结
 
  目前色差仪产品,均可通过国家计量院检测,各项指标均达到国家JJG 595-2002《测色色差计检定规程》计量检定规程中一级机的要求。
 
版权所有©2025 ylzzcom永利(中国)总站线路检测中心|官方网站 All Rights Reserved   备案号:蜀ICP备2024081743号-1   sitemap.xml
技术支持:化工仪器网   管理登陆

扫码加微信

TEL:028-87954548

扫码加微信